スーパーコンピュータ「富岳」の本格稼働してから半年が経ち、各分野で様々な成果が挙げられています。計算基礎科学連携拠点は「富岳」成果創出加速プログラムの研究開発課題のひとつである「シミュレーションで探る基礎科学:素粒子の基本法則から元素の生成まで」の実施拠点として所属する多くの研究者とともに成果創出に携わってきました。
プログラムも折り返し期間に入ったこの時期に、計算基礎科学連携拠点の拠点長である橋本省二が、成果創出を目指して拠点で行われている研究を紹介します。
富岳と SuperKEKB
2021年3月に稼働したスーパーコンピュータ「富岳」は、(2021年夏の時点では)断トツで世界トップの性能をもち、科学のさまざまな分野のシミュレーションで活用され始めています。計算基礎科学連携拠点では、文部科学省の「富岳」成果創出加速プログラムに2つの課題「シミュレーションで探る基礎科学:素粒子の基本法則から元素の生成まで」、「宇宙の構造形成と進化から惑星表層環境変動までの統一的描像の構築」が採択され、それぞれの研究を推進しており、このホームページでも、これらの研究について取り上げていきます。今回はまず、素粒子物理学の研究を紹介しましょう。
「素粒子」と聞いてまずに思い浮かぶのは、ごく小さな「粒」ではないでしょうか。究極的に小さな粒。そのシミュレーションとはどういうことでしょうか。いくつもの粒が跳ね返ったりしながら空間を拡がっていく様子を調べる? 違います。素粒子物理学で興味があるのは、この小さな素粒子の「中」なのです。高エネルギー加速器研究機構(KEK)のつくばキャンパスには、周長3キロメートルにもおよぶ加速器SuperKEKBが設置されています。その前身となるKEK Bファクトリーでは、素粒子の基本相互作用におけるCP対称性の破れを説明する小林・益川理論を検証して、その成果が小林誠先生、益川敏英先生のノーベル賞(2008年)に結びつきました。KEKBを大幅に改造して桁違いに多いデータを集めることを目標とするSuperKEKBは、2018年に運転を開始し、2020年には輝度の世界記録を更新、その後も性能向上のための改良を加えながら運転が続けられています。
SuperKEKBに設置された測定器Belle IIは、次々と生成されるB中間子とその反粒子を測定する装置です。B中間子は素粒子の一つで、その中にボトム・クォークを含んでいることが特徴です。自然界に通常存在する物質はいずれもアップ・クォークとダウン・クォーク(と電子)からできていますが、それらより大きな質量をもつ(従姉妹)粒子ボトム・クォークの崩壊を調べることで、現在の素粒子模型がもっているかもしれない綻びを探ることが実験の目的です。測定器の中心で生成されたB中間子と反B中間子は、すぐに崩壊してより軽い別の粒子に変化します。これは、B中間子のなかのボトム・クォークが崩壊することに伴うものです。このとき、もともとボトム・クォークの周りを取り巻いていた雲も崩壊した粒子について行ったり、あるいは引きちぎれて別の粒子を作ったりします。実際これは非常に複雑な過程なのです。何がそんなに複雑なのか。そもそもの原因はクォークの運動を支配する「強い相互作用」です。複数のクォークを結びつけて中間子や重粒子(陽子や中性子など)を作っているのは強い相互作用が働いているためです。その名の通り、働く力が強いために理論的な計算が難しく、はっきりした予言をあたえるには計算機を使った大規模なシミュレーションが必要になります。強い相互作用の基礎理論、量子色力学(QCD)のシミュレーションを行ってB中間子が崩壊したときに何が起こるかを調べるわけです。
量子色力学のシミュレーションとはどのようなものでしょうか。一言で言えば、「真空」のシミュレーションです。素粒子が棲むミクロの世界は量子論が支配しています。量子論の特徴は、「起こりうることはすべて同時に起こる」ことにあります。何もない真空ですら、そこにはもともとなかったクォークや(強い力を伝える粒子の)グルーオンが勝手に励起しては消える過程を繰り返しています。陽子や中性子がもつ大きさ(原子よりもさらに5桁小さい)よりも小さな空間のなかでクォークやグルーオンをあらわす波が無秩序な波打ちを繰り返す。そうした無限にある可能性がすべて同時に起こった結果として真空ができあがっているのです。シミュレーションでは、このすべての可能性をできるだけ取り入れるように計算を行います。しかし、空間が連続的につながっていると自由度が多すぎてどうにもならないので、空間を格子に区切り、自由度を格子点だけに限ってしまいます。(ですから、この理論のことを格子量子色力学、略して格子QCDと呼びます。)それでも各々の格子点での波の振幅には無限の可能性がありますから、自由度はまだ無限大です。それらをすべて計算することはできませんが、ある程度取り入れれば十分によい精度で計算ができます。量子色力学のシミュレーションとは、ぐちゃぐちゃの真空を再現する試みなのです。
こうしてできた真空のなかをB中間子が飛び、崩壊します。崩壊してできた粒子がある速さで飛び去る確率はどれだけか。それを計算することになります。まずは比較的簡単な場合を考えましょう。B中間子のなかのボトム・クォークが、アップ・クォークに壊れる過程です。この崩壊は「弱い相互作用」を通じて起こります。弱い相互作用は文字通り「弱い」ので、それほど複雑なことは起こしません。ただし、粒子の種類を変えるという特性をもっています。いまの場合、ボトム・クォークがアップ・クォークに変わり、同時に電子とニュートリノが生成されます。アップ・クォークはボトム・クォークにくらべてずっと軽いので、生成された3つの粒子(アップ・クォーク、電子、ニュートリノ)は質量の差からくる大きなエネルギーをもって飛び出してきます。このうち、電子とニュートリノは強い相互作用を感じないために素通りして飛び出してきますが、アップ・クォークの場合はそうはいきません。ボトム・クォークのまわりを雲のように取り巻いていた別のクォークやグルーオンと互いに綱引きが始まって、単に飛び出すのではなく別の中間子をつくることになります。例えばパイ中間子。アップ・クォークと反ダウン・クォークが強い相互作用で結びついた粒子です。これが飛び出してくるのが実験で観測されることになります。
ボトム・クォークがアップ・クォークに変化する過程。これは小林・益川理論に組み込まれた過程の一つで、その確率は現在の素粒子理論の基本パラメータの一つです。ですから、SuperKEKBでは、このパラメータを精密に測定することも目標の一つとなります。ただし、実験で測定されるのはボトム・クォークがアップ・クォークに変化する過程そのものではなく、B中間子がパイ中間子に変化する過程なのです。両者に関係があることは確かですが、その関係を精密に知っておかないと素粒子理論の基本パラメータを決定することはできません。ここに格子QCDによるシミュレーションが登場するわけです。

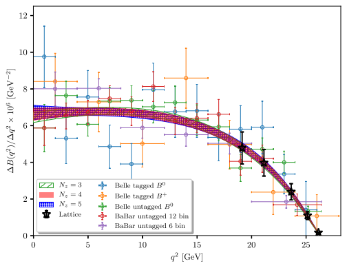
B–>pi l nu 崩壊の微分崩壊率(反応率を終状態の運動量の関数として見たもの)。太い線が格子QCD計算の結果をあらわす。富岳成果創出加速プログラムおよび、その前身であるポスト京重点課題プログラムを通じて得られたもの。Belle と BaBar による実験データと一緒にプロットしてある。
B中間子の崩壊パターンのうち、ここで例としてあげたのは一つですが、実際には数百の崩壊パターンがあります。小林・益川理論の基本パラメータを決めるのに重要な崩壊過程の他にも、ボトム・クォークよりもさらに重いトップ・クォークが量子効果として媒介することで起こる過程は、素粒子の基礎理論の限界をさぐる上で重要です。数多くある崩壊パターンのうち、いまのところ格子QCDで計算できるのはごく限られたものにすぎません。複数の中間子が出てくる過程などはより難易度が高くなります。それでも貴重な実験データがある以上、計算さえできれば大きな発見が隠れているかもしれないのです。
SuperKEKB実験は、高エネルギー物理学の分野を代表する実験の一つで、日本がホストする形で世界中の研究者が携わって進められており、そこで得られる実験結果に多くに研究者が期待しています。その実験結果を解釈する上で理論計算は欠かせない要素で、富岳はそのためにも活用されているのです。
- 月刊JICFuS:スーパーコンピュータを使ったクォークとグルーオンの運動方程式の計算
- 月刊JICFuS:Getting to the Bottom of Matter
- 月刊JICFuS:Getting to the Heart of Matter










































